Số nguyên tố đóng vai trò như những viên gạch nguyên tử cơ bản nhất cấu tạo nên toàn bộ lâu đài toán học và số học mà nhân loại đang sử dụng. Việc thấu hiểu tường tận về bản chất và quy luật vận hành của chúng không chỉ giúp chúng ta tư duy…
Tag Archives: toán học
Công thức nguyên hàm chính là chìa khóa then chốt mở ra cánh cửa thấu hiểu các quy luật biến đổi phức tạp trong thế giới toán học hiện đại. Việc nắm vững các bảng tra cứu giá trị và phương pháp biến đổi không chỉ giúp tối ưu thời gian làm bài mà còn…
Hình bình hành là một dạng tứ giác đặc biệt trong không gian hai chiều mang những đặc tính đối xứng và song song vô cùng thú vị. Việc thấu hiểu bản chất của cấu trúc này không chỉ hỗ trợ quá trình học tập mà còn mở ra những tư duy logic trong thiết…
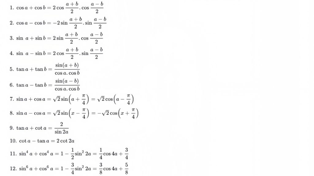
Công thức lượng giác vốn được xem là “xương sống” của môn Toán hình học và giải tích, đóng vai trò then chốt trong việc xử lý các phép biến đổi phức tạp. Việc nắm vững hệ thống dữ liệu này không chỉ hỗ trợ quá trình ôn thi chuyển cấp đạt kết quả cao…




