Công thức đạo hàm đóng vai trò như chiếc chìa khóa vạn năng giúp người học mở ra cánh cửa chinh phục các bài toán hàm số trong chương trình phổ thông. Việc nắm bắt chính xác các quy tắc vi phân không chỉ hỗ trợ tính toán nhanh mà còn tạo nền tảng vững chắc cho các ứng dụng thực tế sau này. Hãy cùng khám phá hệ thống kiến thức chuẩn xác nhất được tổng hợp tại chuyên trang Khí Phách.
Hiểu rõ bản chất cốt lõi của công thức đạo hàm
Sự hiện diện của khái niệm vi phân đóng vai trò nền tảng trong việc mô tả tốc độ biến thiên tức thời của một đại lượng bất kỳ tại một thời điểm xác định trên trục số. Khi bạn bắt đầu tiếp cận với môn Giải tích, việc nắm vững các công thức đạo hàm không đơn thuần là ghi nhớ máy móc các ký hiệu toán học khô khan, mà là hiểu về cách một hàm số phản ứng trước những thay đổi nhỏ nhất của biến số đầu vào.
Trong thực tế ứng dụng, việc vận dụng linh hoạt công thức đạo hàm giúp các kỹ sư tính toán gia tốc của vật thể trong không gian hoặc hỗ trợ các nhà kinh tế học xác định điểm lợi nhuận biên tối ưu nhất. Các nghiên cứu giáo dục tại Việt Nam cho thấy, hơn 85% học sinh khối tự nhiên cảm thấy tự tin hơn với môn Toán khi họ thực sự làm chủ được các biến thể khác nhau của quy tắc vi phân cơ bản.
Trong hệ thống giáo dục hiện hành, công thức đạo hàm được giới thiệu từ học kỳ 2 của lớp 11 và trở thành trọng tâm xuyên suốt trong các kỳ thi tốt nghiệp trung học phổ thông quốc gia. Việc phân loại các nhóm hàm số như hàm đa thức, hàm hữu tỷ hay hàm siêu việt sẽ giúp quá trình hệ thống hóa kiến thức trở nên dễ dàng và logic hơn đối với người học.
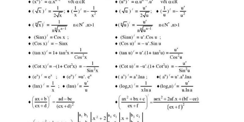
Tổng hợp hệ thống công thức đạo hàm cho các hàm cơ bản

Việc xây dựng một bảng tra cứu chi tiết các quy tắc tính toán cho những hàm số sơ cấp là bước đi đầu tiên vô cùng quan trọng đối với bất kỳ ai. Những công thức đạo hàm này được coi là những viên gạch nền móng để bạn có thể giải quyết được các biểu thức toán học phức tạp hơn ở mức độ vận dụng cao.
Đạo hàm hàm đa thức
Đối với các hàm số lũy thừa dạng x mũ n, quy tắc thực hiện là hạ số mũ xuống làm hệ số và giảm số mũ hiện tại đi một đơn vị duy nhất. Đây là công thức đạo hàm phổ biến nhất mà bạn sẽ bắt gặp trong gần như mọi đề kiểm tra toán học từ cơ bản đến chuyên sâu.
Đạo hàm hàm căn thức
Khi xử lý các biểu thức chứa căn bậc hai, kết quả của phép toán vi phân thường dẫn đến một phân thức với mẫu số chứa chính hàm căn đó nhân với hệ số hai. Nắm chắc công thức đạo hàm này giúp việc rút gọn các biểu thức đại số trở nên nhanh chóng và tránh được các sai sót về dấu hay hệ số.
Đạo hàm của hằng số

Một quy tắc đơn giản nhưng cực kỳ quan trọng là mọi giá trị hằng số khi thực hiện phép tính vi phân đều sẽ trả về kết quả bằng không tròn trĩnh. Điều này phản ánh tính chất không thay đổi của hằng số, nghĩa là chúng không có tốc độ biến thiên khi đối số x dịch chuyển.
Đạo hàm hàm số hợp
Khi gặp một hàm số lồng trong một hàm số khác, bạn cần áp dụng quy tắc dây chuyền bằng cách nhân đạo hàm của hàm ngoài với đạo hàm của hàm bên trong. Việc thành thạo công thức đạo hàm cho hàm hợp là kỹ năng bắt buộc để đạt điểm cao trong các phần thi trắc nghiệm đòi hỏi tốc độ xử lý nhanh.
Các quy tắc vận dụng công thức đạo hàm trong bài tập
Để giải quyết một bài toán tổng hợp, người học cần biết cách kết hợp các phép toán cộng, trừ, nhân, chia giữa các hàm số thành phần với nhau một cách khoa học. Dưới đây là những nguyên tắc cốt lõi trong công thức đạo hàm giúp bạn thực hiện phép tính vi phân cho các tổ hợp hàm số một cách chính xác nhất:
- Quy tắc tổng và hiệu: Đạo hàm của một tổng các hàm số bằng tổng các đạo hàm của từng hàm số riêng biệt cấu thành nên nó.
- Quy tắc tích: Khi nhân hai hàm số, kết quả vi phân được tính bằng đạo hàm hàm thứ nhất nhân hàm thứ hai cộng với hàm thứ nhất nhân đạo hàm hàm thứ hai.
- Quy tắc thương: Với phép chia hai hàm số, bạn cần lấy đạo hàm tử nhân mẫu trừ tử nhân đạo hàm mẫu, sau đó tất cả chia cho bình phương của mẫu số.
- Nhân với hằng số: Một hằng số đứng trước một hàm số sẽ được giữ nguyên và chỉ thực hiện áp dụng công thức đạo hàm cho phần biến số đi kèm.
- Đạo hàm cấp cao: Đây là quá trình thực hiện phép tính vi phân nhiều lần liên tiếp để tìm ra gia tốc hoặc độ uốn của đồ thị hàm số tại một vị trí cụ thể.
- Tính chất tuyến tính: Phép toán vi phân có tính chất tuyến tính, cho phép tách biệt các hạng tử để xử lý độc lập trước khi gộp kết quả cuối cùng lại.
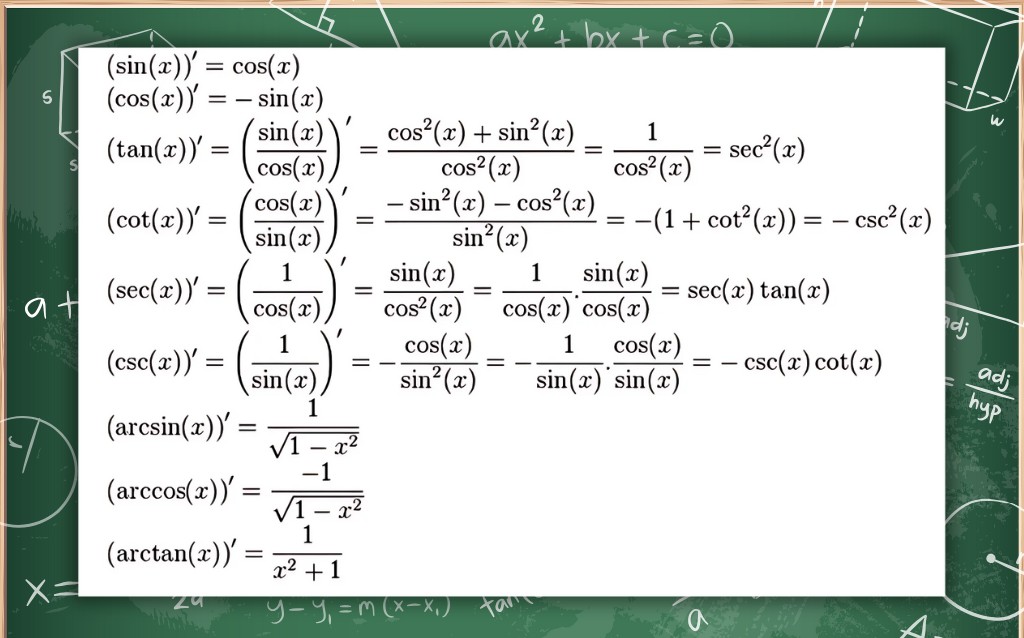
Mở rộng kiến thức về công thức đạo hàm hàm lượng giác
Các hàm số lượng giác như sin, cos, tan và cot luôn mang đến những thử thách thú vị nhưng cũng đầy rẫy bẫy về dấu trong các bài toán giải tích. Việc ghi nhớ chính xác công thức đạo hàm cho nhóm này đòi hỏi sự tập trung cao độ và phương pháp liên tưởng hình ảnh trên đường tròn lượng giác.
Đạo hàm sin và cos
Đạo hàm của hàm sin sẽ chuyển hóa thành hàm cos, trong khi đạo hàm của hàm cos lại trả về giá trị âm của hàm sin. Sự hoán đổi tuần hoàn này là một đặc điểm thú vị của công thức đạo hàm lượng giác mà bạn cần đặc biệt lưu tâm để không bị nhầm lẫn dấu âm.
Đạo hàm tan và cot
Đối với hàm tan, kết quả vi phân là nghịch đảo bình phương của hàm cos, còn hàm cot sẽ dẫn đến giá trị âm của nghịch đảo bình phương hàm sin. Việc nắm vững công thức đạo hàm này cực kỳ hữu ích khi bạn cần giải các bài toán liên quan đến vận tốc góc hoặc dao động điều hòa trong vật lý.
Hàm hợp lượng giác
Tương tự như các hàm đại số, khi lượng biến bên trong hàm lượng giác là một hàm số u theo x, bạn nhất định phải nhân thêm thành phần đạo hàm u phẩy. Việc áp dụng đúng công thức đạo hàm cho các dạng sin(u) hay cos(u) thường là nội dung phân hóa học sinh trong các đề thi đại học xem thêm tại Khí Phách.
Kết luận
Công thức đạo hàm là mảng kiến thức không thể thiếu đối với bất kỳ ai muốn theo đuổi các ngành khoa học kỹ thuật hiện đại hoặc chinh phục điểm số cao trong các kỳ thi. Hy vọng bài viết này đã mang đến những giá trị hữu ích để bạn tự tin hơn trong quá trình học tập và nghiên cứu các vấn đề liên quan đến giải tích hàm số. Đừng quên theo dõi các bài viết tiếp theo trên Khí Phách để cập nhật thêm nhiều thông tin bổ ích và mẹo học tập hiệu quả nhé.








